Murkowski Applauds Release of $7 Million in Secure Rural School Payments to Alaska
The U.S. Department of Agriculture (USDA) announced that through the Secure Rural Schools (SRS) program, the Forest Service distributed $7.7 million—funding authorized and secured by U.S. Senator Lisa Murkowski (R-AK)—to communities across Alaska. In her time as Chairman of both the Energy and Natural Resources Committee and the Interior and Environment Appropriations Subcommittee, Senator Lisa Murkowski consistently championed continuation of the Secure Rural Schools.
“For years I have worked to ensure that the Secure Rural Schools program is fully funded because I’ve seen firsthand the significant – and often critical – impact this funding has on rural communities. The financial resources provide a lifeline for communities across Alaska to support essential services, such as schools and roads, due to a decline in timber receipts and a lack of access to federally-owned forested lands,” said Senator Murkowski. “Alaskans are hurting right now. As we continue to navigate the economic hardships brought on by the COVID-19 pandemic, the fiscal certainty that these payments will provide Alaskans as they budget for emergency response, schools, and other essential services is as important as ever.”
The Forest Service controls 22 million acres of land in Alaska, including 17 million acres in Southeast.
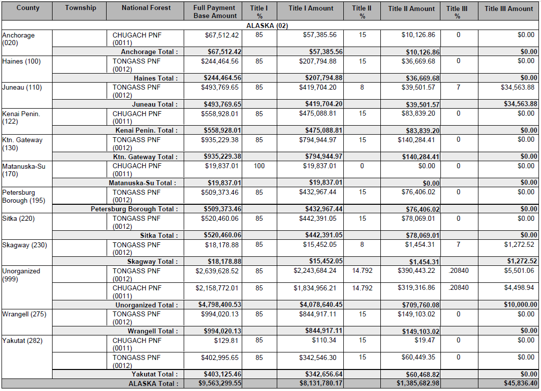
SRS funding distributed in Alaska:

CREDIT: U.S. DEPARTMENT OF AGRICULTURE FOREST SERVICE
To learn more about the SRS Program, visit https://www.fs.usda.gov/working-with-us/secure-rural-schools.
###