04.28.15

Sen. Murkowski Announces $11.7 Million in Secure Rural Schools Payments

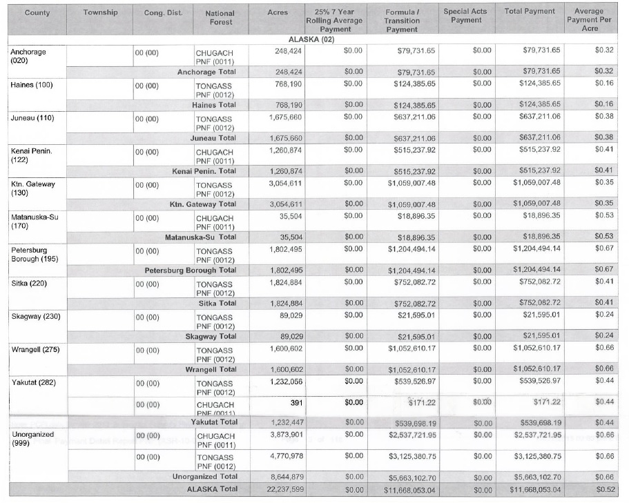
Senator Lisa Murkowski (R-Alaska) today welcomed the announcement by the U.S. Forest Service that Alaskan communities will receive nearly $11.7 million to support local schools and roads as part of Congress’ two-year reauthorization of the Secure Rural Schools and Community Self-Determination Act (SRS).

“Until we agree to return to actively managing our national forests to support jobs and economic activity, we owe the effected communities a way to pay for public services that are typically paid for through property taxes,” Murkowski said. “In a perfect world, the Secure Rural Schools program would unnecessary. Unfortunately, we do not live in a perfect world. We live in a world in which timber in our national forests is left to rot rather than let local communities create an economy through responsible harvesting practices.”

The Secure Rural Schools program has historically shared revenue from U.S. Forest Service timber sales with local governments and schools, including communities in the Tongass and Chugach national forests. However, with the dramatic decline in timber sale levels over the past decade, Congress has provided supplemented funding to protect basic services in forested communities. Communities that once had thriving timber industries now depend on the funds to pay for schools, emergency services and other local services.

The Forest Service indicated that 2015 SRS payments would arrive in state accounts for disbursement to local governments in the next 45 days. Alaska communities will receive roughly $11.7 million in total funding under the program. Communities have already received a portion of the funding from the Forest Service earlier this year.

Murkowski is the chairman of the Senate Energy and Natural Resource Committee, with oversight of the U.S. Forest Service and Bureau of Land Management, which are the agencies responsible for making the payments to local governments in Alaska. The Forest Service controls 22 million acres of land in Alaska, including 17 million acres in Southeast Alaska.

A list of eligible Alaska boroughs and communities and the amount of Secure Rural Schools funding each is expected to receive is available on the Senate Energy and Natural Resources Committee website. Payments to unorganized boroughs are determined by the State of Alaska.

###